
【环球网科技详细报谈】2月16日除夕今日,阿里巴巴开源全新一代大模子千问Qwen3.5-Plus,性能比好意思Gemini 3 Pro,登顶寰球最强开源模子。千问3.5终领路底层模子架构的全面校正,这次发布的Qwen3.5-Plus版块总参数为3970亿,激活仅170亿,以小胜大,性能最初万亿参数的Qwen3-Max模子,部署显存占用裁减60%,推理服从大幅擢升,最大推理糊涂量可擢升至19倍。Qwen3.5-Plus的API价钱每百万Token低至0.8元,仅为Gemini 3 Pro的1/18。
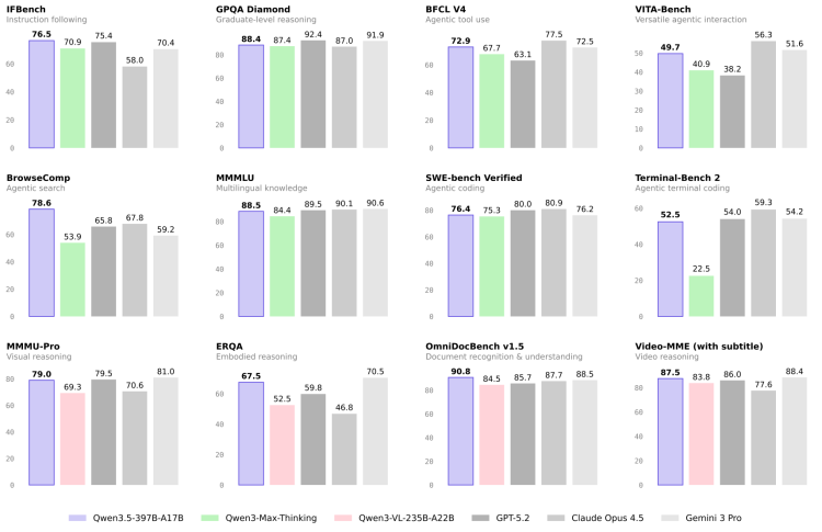
与前几代的千问大言语模子不同,千问3.5终领路从纯文本模子到原生多模态模子的代际跃迁。千问3预进修在纯文本Tokens上进行,而千问3.5则基于视觉和文本搀和token上预进修,并大幅新增中英文、多言语、STEM和推理等数据,让伸开“眼睛”的大模子学会了更密集的寰宇学问和推理逻辑,以不到40%的参数目得回超万亿的Qwen3-Max基座模子的顶尖性能,在推理、编程、Agent智能体等全标的基准评估中均弘扬优异。比如,千问3.5在MMLU-Pro学问推理评测中得分87.8分,卓著GPT-5.2;在博士级勤勉GPQA测评中斩获88.4分,高于Claude 4.5;在教导盲从IFBench以76.5分刷新通盘模子记录;而在通用Agent评测BFCL-V4、搜索Agent评测Browsecomp等基准中,千问3.5弘扬均卓著Gemini 3 Pro、GPT-5.2。
{jz:field.toptypename/}
原生多模态进修,也带来千问3.5的视觉能力飞跃:在多模态推理(MathVison)、通用视觉问答VQA(RealWorldQA)、文本识别和文献领路(CC_OCR)、空间智能(RefCOCO-avg)、视频领路(MLVU)等开阔泰斗评测中,千问3.5均斩获最好性能。在学科解题、任务方案与物理空间推理等任务上,千问3.5比较千问专项模子Qwen3-VL弘扬更好,空间定位推理和带图推理能力均大幅增强,推理分析更精致、精确;在视频领路方面,千问3.5守旧长达2小时(1M token高下文)的视频平直输入,适用于长视频试验分析与摘录生成;同期,千问3.5终领路视觉领路与代码能力的原生和会,汇集图搜和生图用具,可将手绘界面草图平直转为可用的前端代码,一张截图就能定位并建立UI问题,让视觉编程信得过成为坐蓐力用具。
千问3.5性能跃升的背后,是对Transformer经典架构的紧要改进打破。千问团队自研的门控技艺效果,曾斩获寰球AI顶会2025 NeurIPS最好论文,该前沿技艺已融入到千问3.5改进的搀和架构中去,团队汇集线性阻碍力机制与稀零搀和巨匠MoE模子架构,终领路397B总参数激活仅17B的极致模子服从;同期,开云千问3.5通过进修涌现优化以及多 token 臆想等系列技艺,Qwen3.5性能与Qwen3-Max模子握平,并进一步擢升了推理服从:在常用的32K高下文场景中,千问3.5推理糊涂量可擢升8.6倍;在256K超长高下文情况下,Qwen3.5推理糊涂量最大擢升至19倍,推理服从大幅擢升。

千问3.5的原生多模态进修,是在阿里云AI基础措施上高效完成的。通过系列基础技艺改进,千问3.5在文本、图像、视频等搀和数据进修糊涂量,几近100%握平纯文本基座模子进修,大举裁减了原生多模态进修的难度门槛;同期,通过琢磨小巧的FP8、FP32精度利用战术,在进修涌现扩展到数十万亿个token时,激活内存减少约50% ,进修还能提速10% ,进一步量入为主了模子进修老本、擢升了进修服从。
基于顶级视觉能力,千问3.5也终领路从Agent框架到Agent利用的新打破。千问3.5可自主操作手机与电脑,高效完成平时任务,在转移端守旧更多主流APP与教导,在PC端可科罚更复杂的多措施操作,如跨利用数据整理、自动化历程膨胀等,显赫擢升操作服从。同期,千问团队构建了一个可扩展的Agent异步强化学习框架,端到端可加快3到5倍,并将插件式智能体Agent守旧扩展至百万级范围。
1月15日,千问App发布寰球首个消耗级AI购物Agent。春节时代,千问AI购物Agent6天时辰帮用户完成了1.2亿笔订单,在寰球初次终了大范围委果寰宇任务膨胀和贸易化考证。Agent能力大幅增强的千问3.5,将进一步翻开千问APP在责任和生存中帮东谈主服务的思象空间。
自2023年开源以来,阿里已开源400多个千问模子,掩盖全尺寸、全模态,千问寰球下载量打破10亿次,单月下载量是DeepSeek、Meta、OpenAI、智谱、Kimi、MiniMax等2到8名总数,斥地者基于千问斥地的滋生模子超20万,是公认的寰球第一开源模子,亦然斥地者最友好的开源大模子。面向不同国度的AI斥地者和企业的需求,千问大模子还在握续演进:千问3.5扩展守旧201种言语,将词表大小从15万扩展到25万,可最高擢升小语种60%的编码服从。
据悉,千问APP、PC端已第一时辰接入Qwen3.5-Plus模子。斥地者可在魔搭社区和HuggingFace下载新模子,或通过阿里云百真金不怕火平直获取API服务。阿里很快将陆续开源不同尺寸、不同功能的千问3.5系列模子。性能更强的旗舰模子Qwen3.5-Max不久也将发布。(勃潺)

备案号: